Die Liebe bleibt nicht gleich, sondern verändert sich im Beziehungs-Verlauf. Der Artikel stellt hierzu psychologische Befunde vor und zeigt auf, warum diese Befunde zum Optimismus Anlass geben und worauf bereits bei der Partnersuche geachtet werden kann.
Vier Basis-Komponenten der Liebe
Ich bin kürzlich auf eine bereits etwas ältere, aber nach wie vor sehr aufschlussreiche Arbeit des Spaniers Carlos Yela García aus dem Jahr 1998 gestoßen. García beschäftigt sich in dieser Arbeit mit vier Basis- Komponenten der Liebe und ihrer Entwicklung im zeitlichen Verlauf.
Seine Ergebnisse zeigen, dass bei fortbestehenden Beziehungen die Liebe bestehen bleibt, ihre Komponenten sich aber im Verhältnis zueinander verändern.
Garcia unterscheidet zwischen diesen vier Basis-Komponenten der Liebe:
- Bindung: Entscheidung für das dauerhafte Festhalten an einer Beziehung
- Vertrautheit: Verstehen, Vertrauen und Nähe
- erotische Leidenschaft: Sex und körperliches Begehren
- romantische Leidenschaft: Idealisierung und Begeisterung
Wie entwickeln Sie sich diese Komponenten der Liebe mit der Zeit?
- Ursprünglich ging Garcia dabei etwas verkürzt davon aus, dass die erotische Leidenschaft vor allen anderen Komponenten entzündet wird, schnell ansteigt, aber auch ebenso schnell wieder abfällt. Demnach wäre eine Beziehung also am Anfang aufgrund des Reiz des Neuen hochgradig erotisch aufgeladen, könnte diese erotische Aufladung aber aufgrund von Gewöhnung und Sättigung nur kurz aufrechterhalten.
- Auch die romantische Leidenschaft mit ihrer Idealisierung und erlebter Magie nehme im Verlauf einer Beziehung ab. Allerdings beginne der Prozess des Wachstum der romantischen Leidenschaft langsamer als das Wachstum der erotischen Leidenschaft und ihre Abnahme verlaufe ebenfalls langsamer.
- Deutlich langsamer als erotische und romantische Leidenschaft steige Vertrautheit an, wachse aber schließlich bei weitem länger und stärker als die beiden Leidenschafts-Komponenten. Habe die erotische Leidenschaft ihren Höhepunkt bereits überschritten, nehme die Vertrautheit weiter zu und erreiche schließlich ein Plateau, von dem sie nicht mehr abfalle.
- Am langsamsten beginne das Wachstum der Bindungs-Entscheidung, die ihren Höhepunkt erreiche, wenn die romantische Leidenschaft bereits wieder abfalle und schließlich sich auf einem vergleichbarem Niveau wie die Vertrautheit dauerhaft einpendele.
Gelten tun diese Erwartungen freilich nur für Beziehungen, die fortbestehen:
- Trennen sich Beziehungen, ist offensichtlich die Bindung verlorengegangen und auch die Vertrautheit geht bei Trennungsprozessen typischerweise verloren.
Garcia schreibt den dranghaft-leidenschaftlichen Komponenten ein hohes Gewicht für den Beziehungsbeginn zu, postuliert aber gleichzeitig, dass ihre Bedeutung im Verlauf abnehme und sich stattdessen Beziehungen zunehmend durch hohe Vertrautheit und Bindung charakterisierten.
Man könnte auch vermuten, dass die vier Komponenten sich zu einem bestimmten Zeitpunkt wechselseitig triggern:
- Sexuelle Leidenschaft definiert sich vorwiegend physiologisch und über Prozesse der Erregungskonditionierung, die bei Gewöhnung und Sättigung schnell abnehmen.
- Die sexuelle Leidenschaft förderte aber die romantische Leidenschaft, weil Menschen beginnen, auch gedanklich und emotional zu begehren, was sie körperlich begehren.
- Gleichzeitig triggerte die sexuelle Leidenschaft die Vertrautheit, weil sich sexuell begehrende Menschen weiter treffen und so kennenlernen. Vertrautheit ermöglich dann wiederum eine Bindungs-Entscheidung.
Abnahme von Leidenschaft kann kompensiert werden
Die Abnahme der romantische Leidenschaft erfolgt, weil mit abnehmender sexueller Leidenschaft und Zusammenleben als Paar die Vertrautheit wächst, aber letztlich selbst in komplexen Alltags-Gestaltungen Effekte von Gewöhnung und Sättigung durch das gemeinsame Zusammenleben auftreten.
Dennoch brauchen Beziehungen in keine Krise zu geraten durch die Abnahme der Leidenschaft, weil Paare sich immer besser Kennenlernen, dadurch Unsicherheit reduzieren und eine entsprechend starke Vertrautheit miteinander entwickeln. Vertrautheit ist nicht dranghaft oder leidenschaftlich, sondern freundschaftlich und kameradschaftlich.
Das Wachstum an Vertrautheit kann für den Verlust an Leidenschaft kompensieren und Paaren eine intensive Zuneigung und Nähe ermöglichen.
Während also mit wachsender Reduktion von Unsicherheit (Wegfall von Neuem) die Leidenschaft durch Sättigung und Gewöhnung abnimmt, nimmt genau dadurch die Vertrautheit zu und wird zur dominierenden Liebeskomponente, die nun aber zunehmend eng von der Bindungs-Entscheidung gefolgt wird, die schließlich ein vergleichbares Plateau erreichen wird.
Bindung ist die bewusste und gewollte Entscheidung, zusammenzubleiben, egal, was passiert, in guten und in schlechten Zeiten. Leidenschaft bezieht sich auf das Hier und Jetzt, ohne sich mit der Zukunft zu beschäftigen. Bindung bezieht sich demgegenüber auf die Gegenwart und auf die Zukunft und schließt daher auch eine gemeinsame Lebensplanung ein.
Bindung ist die am Anfang am langsamsten wachsende Komponente, weil zunächst der reine Gegenwartsbezug dominiert. Mit wachsender Vertrautheit entsteht jedoch die Basis, eine Bindungs-Entscheidung zu treffen:
- Je besser wir jemanden kennen und verstehen, mit dem wir zusammen sind, desto einfacher wird es uns fallen, uns dauerhaft festzulegen.
Soweit die Theorie, nun zur Wirklichkeit
Empirische Ergebnisse
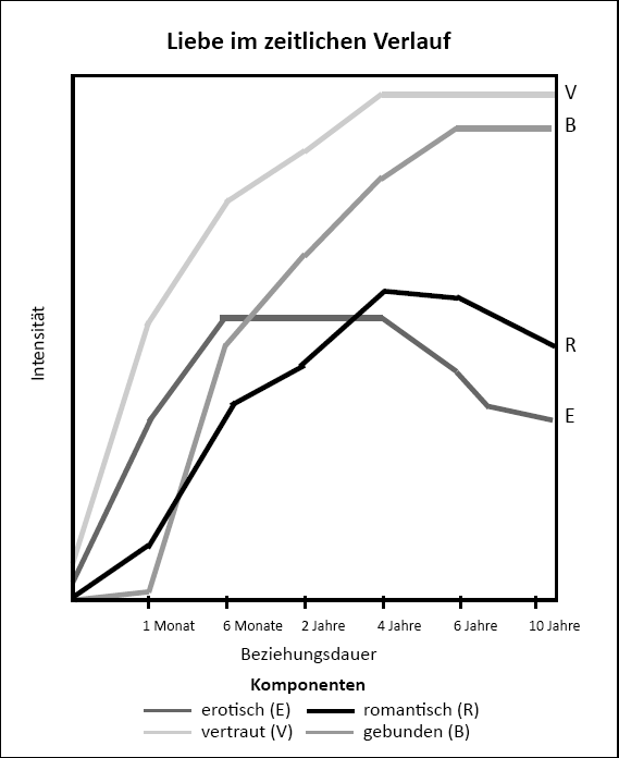
In einer Stichprobe von 412 Personen, die sich alle in Beziehungen mit einer Dauer von einigen Tagen bis hin zu 34 Jahren befanden, untersuchte Garcia empirisch mithilfe von Fragebögen die Stärke der vier Liebes-Komponenten in Abhängigkeit von der Dauer der Beziehung.
Die Ergebnisse sind in dieser Grafik dargestellt:
Was zeigt sich?
- Klar erkennbar ist, dass die erotische und romantische Leidenschaft tatsächlich, wie im Modell postuliert, mit der Beziehungsdauer typischerweise abnimmt.
- Ebenso ist erkennbar, dass Vertrautheit und Bindung schließlich ein Plateau erreichen, auf dem sie konstant und fast gleichstark bleiben.
- Es nehmen also auch in der Realität die leidenschaftlichen Komponenten der Liebe aber, aber Vertrautheit und Bindung nehmen bis zu ihrer maximalen Ausprägung zu und bleiben dann aufrechterhalten.
Gleichzeitig zeigt sich aber, dass die Wirklichkeit komplexer und vielgestaltiger ist als das theoretische Modell es gibt – und dies gibt zum Optimismus Anlass:
- Die erotische Leidenschaft erreicht nach sechs Monaten ihr Plateau, nimmt dann aber nicht schnell ab, sondern bleibt ca. 4 Jahre konstant, bevor ihre Abnahme beginnt, die sich zudem im späteren Verlauf wieder etwas verlangsamt.
- Auch wenn die erotische Leidenschaft abnimmt, liegt sie auch nach vielen Jahren noch weiter über „Null“.
- Die romantische Leidenschaft nimmt jahrelang weiter zu und beginnt erst nach dem vierten Jahr abzunehmen. Selbst nach 10 Jahren ist noch vieles von ihr erhalten, wobei sie dann typischerweise über der erotischen Leidenschaft liegt.
- Falsch ist offenbar die Annahme, dass es quasi der erotischen Leidenschaft als Trigger für die Vertrautheit bedürfe. Im Gegenteil, das Vertrauen steigt von Anfang an steiler als die erotische Leidenschaft und lässt diese schnell hinter sich.
- Es bestätigt sich, dass die Bindungs-Entscheidung zunächst am langsamsten wächst. Aber auch diese nimmt bereits einen Monat nach Beziehungsbeginn steil zu, überschreitet bereits nach 6 Monaten sowohl die erotische als auch die romantische Leidenschaft und nähert sich dann immer mehr der Stärke der dominierenden Vertrautheit an.
Psychologische Interpretation
Erwartungen an Beziehungen
Beziehungen können fraglos mit starker erotischer Anziehung beginnen. Erotische Leidenschaft ist jedoch keine Voraussetzung für den Beginn einer Beziehung. Vertrautheit benötigt nicht den Trigger sexueller Leidenschaft.
Zentral für fortbestehende Beziehungen sind Vertrautheit und Bindung, die sich selbst in sehr langen, erfolgreichen Beziehungen nicht mehr zurückentwickeln, sondern auf ihrem maximalen Niveau erhalten bleiben.
Aber auch die Leidenschaft braucht in einer anhaltenden Beziehung nicht geopfert zu werden:
- Selbst wenn Leidenschaft im sexuellen und romantischen Sinne im Beziehungsverlauf typischerweise abnimmt, bleibt sie selbst in langanhaltenden Beziehungen nach wie vor grundsätzlich vorhanden, nur eben auf niedrigerem Niveau.
Die wichtigsten Erwartungen bezüglich einer Beziehung sollten sich demnach vorwiegend auf Vertrautheit und Bindung beziehen. Dies sind die Faktoren, die Beziehungen erhalten.
Demgegenüber sollte nicht erwartet werden, dass die Leidenschaft immer konstant erhalten bleiben oder gar weiter wachsen werde. Denn wenn Mensch dies erwarten, wird es ihnen schwerfallen, mit der vermutlich doch abnehmenden Leidenschaft umzugehen. Sie könnten fälschlicherweise aus der abnehmenden Leidenschaft schließen, dass die Liebe am Erlöschen ist.
- Wer Leidenschaft und Liebe gleichsetzt, wird es daher schwerer haben, eine Beziehung langfristig zu erhalten.
- Wer sich aber von vornherein darauf einstellt, dass Leidenschaft abnehmen kann, aber Vertrautheit und Bindung bleiben, wird mit größerer Leichtigkeit eine Beziehung auch dauerhaft erhalten können.
Auch sollte Betreffende nur mit guter Reflexion, aus Leidenschaft auf Vertrautheit schließen. Dieser Schluss liegt durchaus nahe und wird wohl auch oft gezogen. So zeigte eine in einem vorherigen Blog-Artikel geschilderte Untersuchung zu Tantra-Praktiken, dass miteinander vereinbarte Berührungen im Genitalbereich zwischen Personen, die nicht in einer Beziehung miteinander sind, zu ienem besonders hohem Ausmaß an erlebter zwischenmenschlicher Nähe führen.
In diesem Sinne scheint die körperliche Berührung tatsächlich Vertrautheit zu triggern. Positiv auswirken wird sich diese Triggerfunktion aber nur dann, wenn auch die Basis für eine Vertrautheit, die über Köprerlichkeit hinausgeht, vorhanden ist. Dies kann der Fall sein, muss es aber nicht.
Leidenschaft kann den Weg zu einer Vertiefung von Vertrautheit, Bindung und Liebe bahnen. Leidenschaft kann aber ebenso den Eindruck einer Pseudo-Vertrautheit erzeugen, die bis hin zu Bindungs-Entscheidungen zwischen füreinander ungeeigneten Personen führen mag.
Damit ist natürlich nicht gemeint, dass Paare keine Anstrengungen unternehmen sollten, auch die Leidenschaft in ihrer Beziehung immer wieder zu aktivieren. Erotische und romantische Leidenschaft können die Beziehungszufriedenheit durchaus fördern und die mit ihnen einhergehende Euphorisierung wird als angenehm erlebt.
Die Befunde zeigen, dass Leidenschaft weiter eine Rolle spielt, sie nimmt nicht auf Null ab.
Psychologische Studien zeigen zudem, dass beispielsweise neue und aufregende gemeinsame Aktivitäten jeder Art Leidenschaft reaktivieren können, offenbar, indem sie Sättigungs- und Gewöhnungseffekten entgegenwirken. Für die Reaktivierung der sexuellen Leidenschaft können Gespräche über sexuelles Begehren, Variation von Orten und Praktiken, aber auch offene Beziehungsmodelle wirksam sein.
Eine Untersuchung von Frederick et al. (2016) beobachtete bei Personen mit erhaltener sexueller Zufriedenheit in Beziehungen häufigere Gespräche über sexuelle Wünsche und Fantasien, häufigeren Oralverkehr, vielfältigere sexuelle Praktiken, stärkere Anregung durch gemeinsame Betrachtung von erotischem Material, vermehrte Bemühungen um eine gute Atmosphäre und Stimmung während der Sexualität, eine stärkere Konsistenz/Regularität von orgasmischem Erleben, sowie auch häufigere Sexualität insgesamt.
Worauf bei der Partnersuche achten?
Eine Beziehung ist mehr als ihr Beginn, aber der Beginn einer Beziehung lässt dennoch einiges bereits absehbar werden, was in der Zukunft geschehen wird.
Die wichtigste Voraussetzung für eine langfristig stabile Beziehung ist die Herstellung von Vertrautheit und die wechselseitige Bereitschaft zur Bindung:
- Einander verstehen, begreifen und wertschätzen können Menschen einander insbesondere dann, wenn ihre Lebensphilosophien und Werthaltungen übereinstimmen.
- Dauerhaft in eine Beziehung miteinander eintreten können Menschen, bei denen die Bereitschaft zur dauerhaften Bindung tatsächlich vorhanden ist und die sich nach dem Entstehen von Vertrautheit wechselseitig versichern können, die Entscheidung treffen zu wollen, dauerhaft zusammen zu bleiben.
Die Empfehlung für die Partnersuche lautet daher, nach einer kompatiblen Person zu suche, mit der ein gemeinsamer Lebensweg möglich ist.
Menschen, für die die sexuelle Leidenschaft eine sehr große Bedeutung hat, sollten dabei auch verstärkt auf eine Kompatibilität der erotischen Wünsche und Phantasien achten und sie könnten zudem die Möglichkeit einer offenen Beziehungsgestaltung erwägen, bei der bessere Aussichten für die auch langfristige Aufrechterhaltung und Re-Aktivierung sexueller Leidenschaft bestehen.
Die recht häufige Angst, dass offene Beziehungen instabil seien, ist übrigens unbegründet – Zitat aus einem vorherigen Blog-Artikel:
- Befragte in konsensuellen, nicht-monogamen Beziehungen tendierten zu besonders langfristigen Beziehungen. Sie wiesen zudem den höchsten Anteil an sogenannten heteroflexiblen Personen (Identifizierung als primär heterosexuell, aber offen für sexuelle Aktivität mit gleichgeschlechtlichen Partnern) und bisexuellen Personen auf. Mitglieder dieser Beziehungs-Struktur berichteten über eine hohe Beziehungsqualität mit Zufriedenheit, Engagement für die Beziehung, Zuneigung und sexueller Befriedigung. Sie berichteten zudem über wenig Einsamkeit und psychisches Leid.
Aber auch monogame Beziehungen erreichen eine sehr gute Zufriedenheit, wenn die vereinbarte Monogamie tatsächlich eingehalten wird – Zitat:
- Die monogamen Gruppen berichteten im Durchschnitt über eine hohe Beziehungs-Zufriedenheit, eine hohe sexuelle Zufriedenheit, wenig Einsamkeit und psychische Belastung, mehr traditionelle Vorstellungen zu Sexualität und Partnerschaft, geringere sexuelle Stimulationssuche.
Monogame Beziehungen sind weiterhin die von der großen Mehrheit der Personen gewählte Beziehungsform. In einer Umfrage unter Gleichklang-Paaren gaben 9,1 % der Paare an, eine offene Beziehung zu praktizieren. Diese Umfrage zeigte gleichzeitig, dass die Trennungsrate in monogamen Beziehungen dramatisch ansteigt, wenn es zum Fredmgehen kommt, während sich die Trennungsraten zwischen authentisch-monogamen Beziehungen und offenen Beziehungen nicht unterschieden. Offenheit ist also sicherlich alle Mal besser als Lügen.
Übrigens werden diese Themen und daraus folgende Empfehlungen unter Rückgriff auf viele psychologische Studien und eigene Datenauswertungen in meinem Buch „A Perfect Match? – Online-Partnersuche aus psychologischer Sicht„ noch einmal ausführlicher dargestellt und vertieft.
Die Vermittlung bei Gleichklang ist darauf ausgerichtet, die Findung tatsächlich kompatibler Personen durch die algorithmusgesteuerten Vorschläge zu unterstützen, um einen guten Startschuss für eine neue Beziehung zu ermöglichen.



